一、引言#
目前,在大模型推理领域中,Guided Decoding 技术广泛用于生成一些特定格式的输出,如:SQL、JSON 等。本文将基于 vLLM 以及 Outlines 后端,深入解析 Guided Decoding 背后的技术原理。
二、什么是 Guided Decoding?#
一般来说,LLM 的输出通常是一段符合人类表达习惯的文本序列,这让我们可以利用 LLM 来回答问题或是创作内容。然而,当我们需要 LLM 的输出符合特定的格式(如:JSON、SQL、正则表达式等)时——例如希望 LLM 根据我们的需求生成查询数据库的 SQL 语句,通过微调的方法通常很难达到我们预期的效果。这时,就需要用到 Guided Decoding 技术,它可以通过影响模型输出层的 Logits 分布(施加 Mask 过滤不满足要求的 Token)来达到规范模型输出格式的效果。
🌰 举个例子:
我们可以向 LLM 输入一个 Prompt 以及对应的格式数据:
# Guided decoding by JSON using Pydantic schema
class CarType(str, Enum):
sedan = "sedan"
suv = "SUV"
truck = "Truck"
coupe = "Coupe"
class CarDescription(BaseModel):
brand: str
model: str
car_type: CarType
json_schema = CarDescription.model_json_schema()
prompt = ("Generate a JSON with the brand, model and car_type of"
"the most iconic car from the 90's, think in 100 tokens")
此时,LLM 就会根据我们的要求生成一个 JSON 格式的输出:
content: {
"brand": "Levels",
"model": "racing equation",
"car_type": "sedan"
}
三、Outlines 原理详解#
目前,实现了 Guided Decoding 支持的后端有 outlines、xgrammar 以及 lm-format-enforcer 等,下面将以 Outlines 为例,深入介绍 Guided Decoding 背后的实现原理。
Outlines 的核心技术点包括:
- 基于 FSM(Finite-State Machine,有限状态机),实现了当前输入与对应状态的匹配,并可以根据状态转移函数确定对应的 Mask;
- 建立了 FSM 的状态与其可接受 Token 的 Map,并为这些 Token 建立索引,从而避免了在每次 Decode 中遍历整个 Vocabulary 进行匹配,加快了匹配的速度。

下面,为了让大家更快速、更直观地理解 Outlines 的原理,本文将尽力避免大段公式和算法的罗列,而是尽量使用具体的例子进行讲解。
3.1 FSM 的工作原理#
🌰 举个例子:
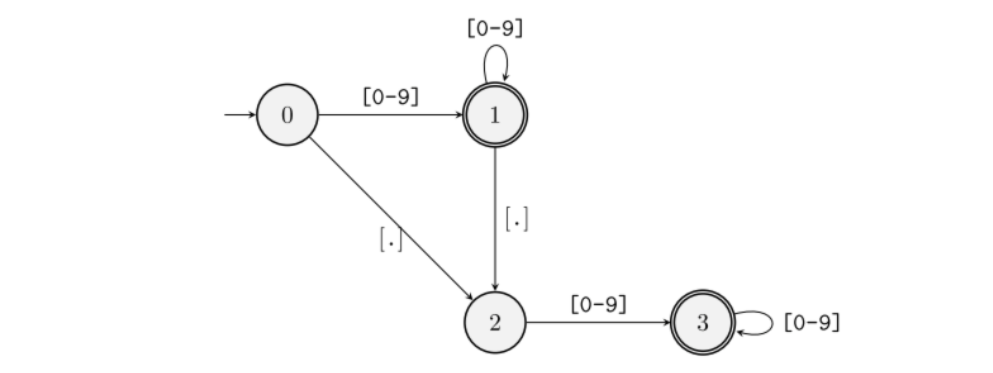
假设我们需要模型输出一个浮点小数,即输出需要匹配的正则表达式为 ([0-9]*)?\.?[0-9]*,并给定一个仅包含 A、.、42、.2 和 1 的 Vocabulary。
“正则表达式”符号说明:
*:匹配前面的子表达式零次或多次;?:匹配前面的子表达式零次或一次;.:匹配除换行符\n之外的任何单字符;\.:匹配小数点符号.(需要使用\进行转义)。
当 LLM 开始 Decode 时,FSM 位于初始状态(0,用整数表示不同的状态),根据状态 0 的转移函数可知,当前状态可以接受的字符模式为 [0-9] 和 [.],而在我们所给的词表中,只有 A 不符合,此时 FSM 会针对词表 ['A', '.', '42', '.2', '1'] 生成一个值为 [0, 1, 1, 1, 1] 的 Mask,即模型在本轮迭代进行采样时会排除掉 A(图中用黑色表示),如下图所示。

接下来,有两种情况:
- 模型本轮的采样值为
.2(图中用红色表示),此时.2同时满足从状态0过渡到状态2再到状态3的条件,因此 FSM 的当前状态会跳转到状态3并生成下一次采样的 Mask。由于状态3可接受的字符模式仅为[0-9],只有42和1满足,因此此时的 Mask 为[0, 0, 1, 0, 1]; - 模型本轮的采样值为
1(图中用黄色表示),同理,此时 FSM 会跳转到状态1并生成对应的 Mask,其值为[0, 1, 1, 1, 1]。
不断循环此过程,最终就能得到满足该正则表达式的输出。
补充:在 vLLM 的实现中,其 Mask 使用
0表示接受的 Token,用-inf(负无穷)表示要排除的 Token,然后再将输出的 Logits 分布与 Mask 相加,从而达到屏蔽不满足要求的 Token 的效果。
3.2 FSM 的构建过程#
在了解了 Outlines 中 FSM 的基本工作原理之后,接下来我们再看下,针对一个给定的正则表达式与 Vocabulary,Outlines 是如何构建这个 FSM 的。
FSM 的构建过程主要分为两步:
- 收集每个 Token 能够匹配的状态转换路径:给定一个 Token,遍历所有状态,并从每一个状态开始,看是否存在能够完整接受该 Token 的路径,若存在,则将该路径记录到该 Token 对应的列表中;若不存在这样一条路径,则跳过当前状态,继续收集以下一个状态作为开始状态的可能路径;
- 收集每个状态能够接受的所有 Token:遍历每一个 Token,并针对该 Token 执行步骤一,获取该 Token 能够匹配的状态转换路径,然后遍历每一条路径并取路径中的第一个节点(开始状态),将该状态与该 Token 进行绑定(将该 Token 添加到该状态的集合中)。
🌰 举个例子:
这里我们继续使用上面的例子进行说明:

对于 Token A,遍历每个状态:
- 从状态
0开始,不满足,pass; - 从状态
1开始,不满足,pass; - 从状态
2开始,不满足,pass; - 从状态
3开始,不满足,pass。
对于 Token .,遍历每个状态:
- 从状态
0开始,可以转换到状态2,记录路径0 -> 2; - 从状态
1开始,可以转换到状态2,记录路径1 -> 2; - 从状态
2开始,不满足,pass; - 从状态
3开始,不满足,pass。
此时,我们可以收集到对于 Token .,其所能匹配到的所有状态转换路径集合:
0 -> 2
1 -> 2
然后,将每条路径的起始状态与该 Token 进行绑定(一个 HashMap):
状态 0 <-> set(".")
状态 1 <-> set(".")
对于 Token 42,遍历每个状态:
- 从状态
0开始,可以转换到状态1,记录路径0 -> 1; - 从状态
1开始,可以转换到状态1,记录路径1; - 从状态
2开始,可以转换到状态3,记录路径2 -> 3; - 从状态
3开始,可以转换到状态3,记录路径3。
Token 42 能匹配到的所有路径集合如下:
0 -> 1
1
2 -> 3
3
同理,将所有起始状态与该 Token 进行绑定:
状态 0 <-> set(".", "42")
状态 1 <-> set(".", "42")
状态 2 <-> set("42")
状态 3 <-> set("42")
对于 Token .2,遍历每个状态:
- 从状态
0开始,记录路径0 -> 2 -> 3; - 从状态
1开始,记录路径1 -> 2 -> 3; - 从状态
2开始,不满足,pass; - 从状态
3开始,不满足,pass。
绑定状态与 Token:
状态 0 <-> set(".", "42", ".2")
状态 1 <-> set(".", "42", ".2")
状态 2 <-> set("42")
状态 3 <-> set("42")
对于 Token 1,遍历每个状态:
- 从状态
0开始,记录路径0 -> 1; - 从状态
1开始,记录路径1; - 从状态
2开始,记录路径2 -> 3; - 从状态
3开始,记录路径3。
绑定状态与 Token:
状态 0 <-> set(".", "42", ".2", "1")
状态 1 <-> set(".", "42", ".2", "1")
状态 2 <-> set("42", "1")
状态 3 <-> set("42", "1")
最后,我们就得到了每个 FSM 状态能够匹配的所有 Token 集合。
在实际过程中,当 LLM 生成的内容进行到某一个状态时(比如:状态 2),Outlines 就能快速通过该 Map 获取到当前状态所能接受生成的 Token 集合(42 和 1),搜索的时间复杂度为 O(1),并生成下一步 Decode 的 Mask(为 [0, 0, 1, 0, 1],即过滤掉了其它 3 个 Token)。
3.3 总结#
Outlines 的优缺点:
- 优点:不会引入额外的推理延迟。FSM Map 的构建过程会在真正进行 Decode 之前就完成,因此并不会给实际运行时的推理过程引入太多额外的延迟(引入的额外计算仅包括生成 Mask 等,几乎可以忽略);
- 缺点:会引入额外的内存占用。保存并加载这个 Map 会带来额外的内存占用,因此在实际应用中,我们需要对推理速度和内存占用这两方面做一个权衡。
另外,Outlines 不仅可以支持使用正则表达式来限定模型的输出,还支持 CFGs(Context-Free Grammars,上下文无关文法),比如:JSON、SQL 以及 Python 等语言。关于 CFGs 生成的原理,这里不再详细展开,感兴趣的读者可以自行阅读 Outlines 的论文与源码。
四、vLLM Guided Decoding 源码解读#
目前,vLLM 的 Guided Decoding 功能支持 outlines、xgrammar 以及 lm-format-enforcer 这三种后端。下面,我们将使用 Qwen2.5-7B-Instruct 模型,并基于 outlines 后端,详细讲解 Guided Decoding 的整体流程及其代码实现。
4.1 加载 LogitsProcessor#
当 LLMEngine 初始化时,会在 _build_logits_processors() 方法中调用 get_local_guided_decoding_logits_processor() 方法获取当前可用后端对应的 LogitsProcessor(位于 vllm/model_executor/guided_decoding 目录下)。
此时,需要传入 Guided Decoding 相关的参数 GuidedDecodingParams,这些参数位于 SamplingParams 中,可以在启动 vLLM 时进行指定。最后,所有被成功加载的各种 LogitsProcessor 都会被存放到 SamplingParams 中。
部分代码如下:
# llm_engine.py
def _build_logits_processors(..., sampling_params, ...):
logits_processors = []
if sampling_params.guided_decoding is not None:
# ...
guided_decoding = sampling_params.guided_decoding
# ...
processor = get_local_guided_decoding_logits_processor(
guided_params=guided_decoding,
tokenizer=tokenizer,
model_config=self.model_config,
reasoning_backend=self.decoding_config.reasoning_backend,
)
if processor:
logits_processors.append(processor)
# ...
sampling_params.logits_processors.extend(logits_processors)
return sampling_params
GuidedDecodingParams 包含的参数如下:
# sampling_params.py
@dataclass
class GuidedDecodingParams:
"""One of these fields will be used to build a logit processor."""
json: Optional[Union[str, dict]] = None
regex: Optional[str] = None
choice: Optional[list[str]] = None
grammar: Optional[str] = None
json_object: Optional[bool] = None
"""These are other options that can be set"""
backend: Optional[str] = None
whitespace_pattern: Optional[str] = None
其中,前 5 个参数用于指定模型输出需要匹配的模式,剩下 2 个参数为一些可选配置。
4.2 整体推理流程#
当初始化完成后,vLLM 会开启一个循环并不断调用 step() 方法执行推理,每一次调用就是一个迭代。
部分代码如下:
# llm.py
def _run_engine(...):
# ...
while self.llm_engine.has_unfinished_requests():
step_outputs = self.llm_engine.step()
# ...
return outputs
在 step() 方法中,vLLM 的整体调用链路如下:

其中,与 Guided Decoding 有关的核心处理逻辑都被封装到了 BaseLogitsProcessor 的 __call__() 方法中,这样就可以直接通过 logits_processor(...) 的方式来进行调用。
4.3 计算 Mask#
具体地,BaseLogitsProcessor: __call__() 的部分代码(#... 代表省略)及其说明如下:
from outlines.fsm.guide import (CFGGuide, CFGState, Generate, Guide,
RegexGuide, Write)
class BaseLogitsProcessor:
def __init__(self, guide: Guide, reasoner: Optional[Reasoner]):
self._guide: Guide = guide
self._fsm_state: DefaultDict[int, Union[int, CFGState]] = defaultdict(int)
# ...
def __call__(self, input_ids: List[int],
scores: torch.Tensor) -> torch.Tensor:
"""Use the FSM to bias the logits before sampling the next token."""
# ...
seq_id = hash(tuple(input_ids))
if len(input_ids) > 0:
last_token = input_ids[-1]
last_seq_id = hash(tuple(input_ids[:-1]))
# 根据前一个 FSM 状态以及当前输入的 Token,从 Outlines 获取下一个状态
# _fsm_state 是一个 Map:序列哈希 <--> FSM 状态
self._fsm_state[seq_id] = self._guide.get_next_state(
state=self._fsm_state[last_seq_id], token_id=last_token)
# ...
# 从 Outlines 获取当前状态所能接受的 Token 集合
instruction = self._guide.get_next_instruction(
state=self._fsm_state[seq_id])
allowed_tokens = instruction.tokens
# 使用 -torch.inf 初始化 Mask
mask = torch.full((scores.shape[-1], ),
-torch.inf,
device=scores.device)
# ...
# 将 Mask 中 allowed_tokens 的位置设为 0,其余为 -torch.inf(即要被过滤的)
mask.index_fill_(0, allowed_tokens, 0)
# 将 Mask 应用到模型输出上:
# 1.对于可接受的 Token:原本的概率 + Mask(0),概率不变
# 2.对于不接受的 Token:原本的概率 + Mask(负无穷),概率为 0
scores.add_(mask)
return scores
总结:Guided Decoding 通过一个 Mask 机制实现了筛除模型生成的不满足当前格式限制的 Token 的效果。
4.4 支持 Reasoning#
目前,vLLM 还支持在 Reasoning 时,仅对最后的结果 content 执行 Guided Decoding 逻辑,而不影响原本推理部分的内容 reasoning_content。
具体的代码可以参考这个 PR,由 Ce Gao 实现,感兴趣的读者可以自行了解,这里不再详细展开。
五、SGLang Jump-Forward Decoding#
使用 FSM 实现 Guided Decoding 还有一个缺点——即只能逐个 Token 计算 Mask。然而,在 Guided Decoding 中,有一些特定的 Token 组合是绑定在一起的,对于这些 Token,其实没必要再一个一个地去生成,而是可以一次 Decode 直接生成几个 Token 的组合,从而可以加速 Guided Decoding 的推理过程。
为了解决上述问题,SGLang 提出了一种基于 Compressed Finite State Machine 的 Jump-Forward Decoding。即当生成一些特定的 Token(后续模式固定且可预测,如:{)时,该算法可以在一次 Decode 中将连续的几个 Token 直接生成。

具体地,Compressed FSM 通过先分析 FSM(根据用户给定的正则表达式生成),识别其中一些没有分支的节点(即只由一条边连接),并将这些路径上的节点合并,从而可以通过一次跳转(Decode),跨越多个状态(Token),直到下一个具有分支的节点,从而极大地提高了 Guided Decoding 的效率。
